Flere eksempler på polynomdivisjon
Her regner vi gjennom to eksempler til på polynomdivisjon.
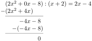
Eksempel 1
Oppgave:
Utfør polynomdivisjonen , og bruk resultatet til å faktorisere .
Løsning:
Vi skriver som , og utfører polynomdivisjon på vanlig måte. Den fullstendige regningen blir slik:
Siden vi fikk 0 til slutt, gikk divisjonen opp. Dette betyr at kan faktoriseres:
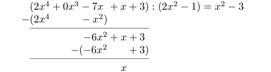
Eksempel 2
Oppgave:
Skriv brøken der , enklere ved å bruke polynomdivisjon.
Løsning:
I stedet for å utføre divisjonen med en gang, ser vi først litt nærmere på brøken.Vi ser at alle leddene i teller og nevner inneholder , og vi kan da forkorte alle leddene i teller og nevner med , med betingelse at
Videre ser vi at alle nevnerne i brøkene har verdi , og vi kan derfor multiplisere alle leddene med for å forkorte brøkene. Resultatet blir at:
Dette er et mye hyggeligere uttrykk å regne med. Vi skriver leddene i telleren i synkende rekkefølge og utfører polynomdivisjonen på vanlig måte:
Nå kommer vi ikke lenger, fordi har lavere grad enn . Divisjonen går altså ikke opp. Den opprinnelige brøken kan da skrives slik:
Moral: Mange polynomdivisjoner kan forenkles betydelig ved å gjøre noen små endringer før man begynner å dividere. Ha alltid øynene åpne for slike muligheter!
Del på Facebook
Lynkurs 11.-13.trinn
Polynomdivisjon
Består av:
- Definisjon av et polynom
- Polynomdivisjon - skritt for skritt
- Tips til polynomdivisjon
- Restpolynom
- Flere eksempler på polynomdivisjon
- Nullpunktsetningen – når går divisjonen opp?
- Delbrøkoppspalting
- Delbrøksoppspalting - et eksempel
- Delbrøksoppspalting - et eksempel til
- Delbrøkoppspalting når røttene er like




