Restpolynom
En polynomdivisjon går ikke alltid opp. Da får vi det som kalles et restpolynom.
En vanlig divisjon går ikke alltid opp. Prøv for eksempel å regne ut for hånd med metoden vi minnet om i begynnelsen av kurset – dette er barneskolelærdom, men du ender opp med å få en rest. Dette kan også skje i polynomdivisjon, og som med resten av det vi ser på her takler vi det mye på samme måte som for "vanlig" divisjon.
Eksempel
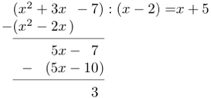
Regn ut ved å bruke polynomdivisjon.
Løsning. Regningen blir slik:
Dersom vi skulle ha fortsatt divisjonen nå, ville neste ledd i svaret blitt (fordi det er det må ganges med for å få 3). Men da ville ikke svaret vært et polynom lenger, så dette vil vi ikke ha. I stedet sier vi at 3 er restpolynomet i divisjonen, og skriver
.
Polynomdivisjonsteoremet
Vi tar med et teorem som sier formelt når en polynomdivisjon går opp. Man kan langt på vei se hva som må gjelde ut fra å tenke på når vi fikk problemer i divisjonen over, men dette er et viktig teorem.
Teorem. Polynomdivisjon
Anta at vi holder på med en polynomdivisjon , og at er polynomet som står igjen under streken.
- Hvis graden til er større eller lik graden til , kan polynomdivisjonen fortsette.
- Hvis graden til er mindre enn graden til , stopper divisjonen opp. kalles restpolynomet eller bare resten i divisjonen.
- Hvis resten er lik 0 går divisjonen opp.
Vi kaller det som står etter likhetstegnet for , og skriver
,
som blir til hvis divisjonen gikk opp; dette kalles en faktorisering av .
Del på Facebook
Lynkurs 11.-13.trinn
Polynomdivisjon
Består av:
- Definisjon av et polynom
- Polynomdivisjon - skritt for skritt
- Tips til polynomdivisjon
- Restpolynom
- Flere eksempler på polynomdivisjon
- Nullpunktsetningen – når går divisjonen opp?
- Delbrøkoppspalting
- Delbrøksoppspalting - et eksempel
- Delbrøksoppspalting - et eksempel til
- Delbrøkoppspalting når røttene er like



