Polynomdivisjon - skritt for skritt
Den letteste måten å lære seg polynomdivisjon på er ved å begynne med et eksempel. Her regner vi gjennom en polynomdivisjon i detalj.
Vårt valgte eksempel er brøken
.
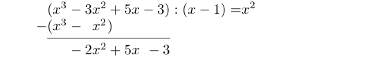
For å regne ut hva dette blir, benytter vi det samme oppsettet som i talldivisjon. Vi bruker altså divisjonstegnet «:» i stedet for brøkstrek:
Det første vi gjør, er å identifisere de høyeste potensene i hvert polynom. Disse er her henholdsvis og . Så spør vi: Hva må vi gange med for å få ? Svaret er , og dette skriver vi rett etter likhetstegnet. Deretter ganger vi med , og skriver resultatet (som blir ) under det første polynomet:
De to polynomene som står under hverandre, skal så subtraheres fra hverandre. Her er det lett å surre med fortegnene, så pass på! Resultatet blir:
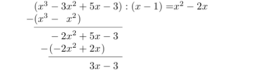
Legg merke til at -leddet forsvant etter subtraksjonen. Dette er hele poenget med at vi valgte som vårt første ledd i svaret. Vi gjentar prosedyren med . Hva må vi gange med for å få ? Det må bli , som dermed er neste ledd i svaret. Videre regner vi ut at , og dette skriver vi opp under . Etter subtraksjonen står vi da igjen med følgende:
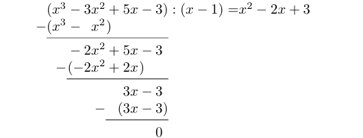
Nå står vi igjen med divisjonen . Her kan man enten se direkte at dette blir 3, eller man kan tenke som før: Hva må vi gange med for å få ? Jo, tallet 3. Den fullstendige regningen blir uansett seende slik ut:
Siden vi står igjen med 0 nederst, gikk divisjonen opp. Svaret er det som står etter likhetstegnet. Skifter vi tilbake til brøkstrek igjen, har vi altså fått resultatet
.
Ganger vi med på begge sider, får vi en faktorisering av telleren:
Å oppnå en slik faktorisering er ofte hensikten med å utføre en polynomdivisjon.
Del på Facebook
Lynkurs 11.-13.trinn
Polynomdivisjon
Består av:
- Definisjon av et polynom
- Polynomdivisjon - skritt for skritt
- Tips til polynomdivisjon
- Restpolynom
- Flere eksempler på polynomdivisjon
- Nullpunktsetningen – når går divisjonen opp?
- Delbrøkoppspalting
- Delbrøksoppspalting - et eksempel
- Delbrøksoppspalting - et eksempel til
- Delbrøkoppspalting når røttene er like






